✍سمیر فهیم
در خراسانافغانستان، یک واقعیت انکارناپذیر وجود دارد و آن اینکه اکثریت مطلق به جز هبتالله آخوندزاده به زبان پارسی گپ میزنند، اکثر مطلق، کابل را پایتخت رسمی کشور میدانند.
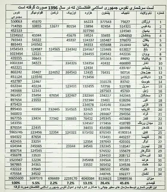
یک لست در رسانهها دست به دست میشود که گویا سرشماری نفوس کشور صورت گرفته و آمار اقوام در آن مشخص شدهاست. به باور من با اکثریت و اقلیتسازیهای جعلی، فقط فاشیزم افغانی توجیه میشود. وقتی خودمان تصریح میکنیم که آمارگیری رسمی، علمی و سراسری وجود ندارد، پس نباید از صندوقهای شخصیمان آمارهایی بیرون بکشیم که با هیچ معیار علمی قابل سنجش نیست.
وقتی از خراسانافغانستان سخن میگوییم، باید نسخههای قومی، عقدههای قومی و تنگنظریهای قومی را کنار بگذاریم. در غیر آن، هیچ منطق سیاسی و اخلاقی وجود ندارد که فاشیزم افغانی را مردود بدانیم، اما تنگنظریهای تاجیکی، هزارهگی و اوزبیکی را بهعنوان راهحل خروج از بحران تبلیغ کنیم.
آنچه مردم این سرزمین را به هم وصل میکند، یک مثلث مشترک است؛ سرزمین مشترک، اسلام و زبان پارسی. جدال اقوام غیر افغان، جدال هویت ملی است.
هویت ملی که بدون خراسانافغانستان، امکان شکلگیری و بسیج ملیاش، وجود ندارد.
پافشاری به ادامه فاشیزم افغانی، لاقل کشور را به ۴ دسته تقسیم میکند، اسلام و زبان مشترک پارسی را نابود میکند و یک بحران بیپایان در این کشور حاکم میگردد.













